套利vs 价值投注以及风控,套利与价值投注的详细比较。考察资金管理与差异的关键作用。套利的原理是对多个博彩公司的某个盘口内的所有选项进行下注,利用价格差异并保证获利。套利是合理的投注策略。
作为平博的交易总监,我的工作是管理风险,对于每一个想要赚钱的投注者来说也是如此。我喜欢阅读关于投注者如何处理风险和管理资金的文章,最初是这些文章启发我首次向投注资源投稿,揭露关于套利与价值投注这一广受讨论而又常被误解的话题的一些错误观念。
平博亮眼的政策之一是欢迎套利。套利投注是通过价格差异来寻找无风险的利润,其起因通常是博彩公司提供的赔率无法真实反映潜在概率。
鉴于无风险利润的前景,初学者套利指南不出所料地成为投注资源广泛的投注策略档案中最受欢迎的文章之一。在没有任何风险的情况下保证利润的承诺违背了一个观点,那就是当某些事情听起来太好,就不会是真实的。其余的,你知道的。
套利
对多个博彩公司的某个盘口内的所有选项进行下注,利用价格差异并保证获利。
事实是,套利是合理的投注策略。事实上,该方法是亿元级投资界大部分利润的基础。大多数博彩公司不喜欢这套利者,因为他们不是目标受众。但我的交易模式只关注总投注量,其中包括套利。只要投注者遵守我们的规则,我不介意投注背后的意图。
套利投注已经发展到有自己的群体,并且发展处了关于如何从导致价格差异的情况中获利的思想束缚。我们的套利解释提供了套利发生的几个可能原因,但是最常见的原因仅仅是博彩公司对特定事件的潜在概率进行了不同的评估,他们提供了过于慷慨的赔率。
套利无风险
套利投注具有稳定的增长模式,因为所有位置都被完全对冲。由于没有风险,因此没有差异,所有的基础都被覆盖。
一旦发生这种情况,要完成套利,投注者需要找到最准确的市场评估,并且成比例地投注两方。平博是最敏锐的博彩公司之一,因此我们常为套利者提供这项服务2。我常读到的建议是,如果赔率是错误的,何不仅仅占据空头套利位置并对价值进行投注?这一相当简单的评估忽略了关于风险和资金管理的关键问题,启发我写了这篇文章。
为了构建这个关键问题的答案,让我们先从一个套利机会的例子开始:
套利投注示例
| 选项 | 赔率 | 博彩公司 |
|---|---|---|
| 巴塞罗那战胜UCL(是) | 2.120 | 平博 |
| 巴塞罗那战胜UCL(否) | 1.950 | 神秘博彩公司 |
按比例投注,以2.120投注巴塞罗那战胜UCL(是),并通过神秘博彩公司投注巴塞罗那战胜UCL(否)。无论结果如何,您一定都能获利。
通过套利投注获利的示例
| 选项 | 赔率 | 风险 | 可能的利润 | 净利润 |
|---|---|---|---|---|
| 是 | 2.120 | 95.82 | 203.134 | 3.14 |
| 否 | 1.95 | 104.18 | 203.15 | 3.15 |
价值投注
使用套利来表示不正确的赔率,但仅向该选项投注将导致真正的风险。
价值投注vs. 套利
有逻辑推论说,套利只是在“神秘博彩公司”提供了一个价值投注机会。不应通过在神秘博彩公司投注“否”来对冲在平博投注“是”,价值投注显示,平博盘口更能体现巴塞罗那赢得冠军联赛的真实概率,这意味着平博的价格是正确的,而神秘博彩公司的价格不正确。他们的赔率错误,何不跳过套利,仅仅利用提供“价值”的不准确之处?
价值投注vs. 套利示例
| 博彩公司 | 选项 | 赔率 | 隐含概率 |
|---|---|---|---|
| 平博 | 是 | 2.120 | 0.472 |
| 平博 | 否 | 1.810 | 0.553 |
| 神秘博彩公司 | 是 | 1.910 | 0.524 |
| 神秘博彩公司 | 否 | 1.950 | 0.513 |
如果我们接受平博价格正确的假设,那么巴塞罗那未能战胜UCL的公平机会,即“否”投注的概率,就是53.9%(此结果减去了上表显示的博彩公司利润)。这与神秘博彩公司的评估49.5有(53.9-49.5)4.4%的差异。因此,在神秘博彩公司投注“否”选项应该产生的回报等于公平概率减去下注概率。1.95转为51.3%。因此,预期回报应为(53.9-51.3)=2.6%,这看起来似乎比大多数银行账户更有吸引力,但这是全貌吗?
价值投注vs. 套利示例
| 博彩公司 | 选项 | 赔率 | 公平的概率 |
|---|---|---|---|
| 平博 | 是 | 2.120 | 0.461 |
| 平博 | 否 | 1.810 | 0.539 |
| 神秘博彩公司 | 是 | 1.910 | 0.505 |
| 神秘博彩公司 | 否 | 1.950 | 0.495 |
价值投注和差异
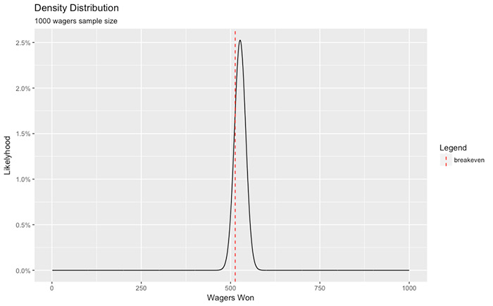
以1.95的赔率和利润为51.3%的隐含概率投注,意味着您必须赢得投注的51.3%才能实现收支平衡(假设是公平的抛硬币,只需要赢一半或50%的投注,就能收支平衡)。然而,我们不能仅仅使用单一事件来测试价值投注方法的作用,我们需要足够大的样本。
使用赔率为1.95的1,000个投注作为样本,相当于赢得了512.8个投注(见下图)。这告诉我们,基于二项分布,具有给定优势的512次或更少的投注成功的概率是18.6%。具有给定优势的450次或更少的投注成功的概率是4.91%。

预期增长
价值投注的增长曲线。随着时间的推移,更多投注的概率趋势在很大程度上取决于作为优势的潜在的公平概率,如上面的巴塞罗那的例子所示,这是通过凯利方法确定适当投注的重要因素。
所有位置都被完全对冲,套利投注具有稳定的增长模式。因为所有的基础都被覆盖,没有风险,也没有差异。假设起始资金为1000个单位,并应用基于凯利标准的投注策略,比1,000个单独的蒙特卡洛模拟有2.66%的优势,每个单位有1000个投注。下图显示了我们应该期待的事情。

1000个蒙特卡洛模拟的平均值产生了约500个单位的利润。前10%产生约3,000个单位的利润,这是在娱乐场最好的情况,而后10%造成约500个单位的损失。在1,000多次投注中,套利投注的表现与蒙特卡洛模拟的前10%相当,如本文所重申的,其不含差异。
凯利标准
凯利标准是资金增长的明智策略,建议在混合交易策略之间使用该策略确保适当的资金增长。
比起套利投注,价值投注必须以这种方式执行,其原因一定与资金管理必须与潜在风险成比例这一事实相关。如果您不采用这种投注方式,请阅读投注方法文章,否则您将很快亏掉您的资金。这个问题可以通过套利投注来解决。由于没有风险,所以可以投注较高比例的资金。
由于对于以1000个单位起步的普通投注者而言是现实的,我们有意选择了上述以约200个单位下注的例子。鉴于风险与资金之间的关系已经很明确,为了可行性,“价值投注”策略不能以2.66%的投注优势拿20%的起始资金冒险,因为亏损风险过高。
当然,如果具有不受限制的资金和投注限制,价值投注优于套利。但在现实中,凯利标准是资金增长的明智策略,建议在混合交易策略之间使用该策略确保适当的资金增长。
1 从数学角度来看,理论套利是无风险的,但其未考虑外部因素。包括神秘博彩公司是否愿意接受您的投注(他们可能会将您归类为套利者),他们是否觉得其赔率错得离谱而不承兑,或者您是否可以向与平博投注相关的神秘博彩公司投注所需的成比例投注,其中限制不成问题。
2 虽然经单独判断,平博赔率无疑十分准确,但其并不能总是反映出给定事件的真实潜在概率。许多因素会影响其准确性。


